【2025年最新版】お腹の脂肪を落とす最強のダイエット法!科学的データを基に徹底解説!

痩せることは簡単なことではありませんが、その痩せた体型を維持することはさらに困難です。
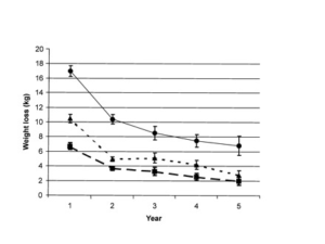
2001年のメタ分析によるとダイエットから5年以内に、平均的に落とした体重の約80%が元に戻ってしまうことがわかりました。

そして、ダイエットの混乱はつきません。多くの人は楽に痩せようとして矛盾したアドバイスに従い、基本を見逃してしまい、全く痩せられずダイエットに挫折してしまいます。
すべてにおいて基本は非常に重要であり、もちろんダイエットにも基本というのが最も確実で効果的です。この動画ではインターネットやダイエット詐欺師たちの雑音を完全に排除し、最新科学を活用して最強のダイエット法について紹介します。
お腹の脂肪を落としたい人、これが最高の方法です。
お腹の脂肪はなぜつきやすいのか

なぜお腹の脂肪はつきやすく落ちにくいイメージがあるのか。これには生理学的な要因と印象的な要因の二つがあります。
まず、生理学的な要因について。
脂肪組織について調査した複数の研究データ、そしてレビューを基にするとお腹の脂肪は他の体の部位についている脂肪と比較して、脂肪燃焼に抵抗力のある脂肪細胞を多く含んでいることを示しています。
加えて、腹部の皮下脂肪は他の部位に比べて血流が少ない傾向にあります。いくつかの研究を基にすると腹部の体脂肪量と血流には逆相関の関係があることを示しています。日常生活では腹部の筋肉が強く活動したりといった血流が集中することはあまりないため、お腹の脂肪は落ちにくい可能性があります。(1,2)
ただし、これらの研究はあくまで理論的な話です。こういった理論によって新しいダイエット法が生まれることはよくありますが、理論は必ずしも事実を裏付けるわけではないことに注意する必要があります。
これに加えてもうひとつ生理学的な要因として、一般的に体脂肪というのは皮下脂肪と内臓脂肪に分類されます。皮下脂肪はほとんどの人が知っている代表的なもので体全体についています。この皮下脂肪がつきすぎると太った肥満体型になり、これを落とせば痩せた外見になるため痩せたい人が真っ先に落とそうとする脂肪です。
ほとんどの人は基本的には皮下脂肪だけ意識すれば大丈夫です。というもの専門家の推定では体脂肪の約90%は皮下脂肪であり、皮下脂肪を落とせば体全体の体脂肪が減るためスリムな体型を手に入れることができます。
しかし、唯一の例外としてお腹の脂肪は内臓脂肪が蓄積する場所です。これはお腹にあり、内臓を包んでいます。実際に皮下脂肪のようにつまんだりすることは出来ず、外見的には皮下脂肪なのか内臓脂肪なのかを判断することは難しいですが、心臓、肝臓、腸など内臓の周りにつくことから腹部の脂肪に大きな影響をもたらします。
例えば「全然太ってないのにお腹だけ出てる」という人は内臓脂肪が多い可能性が高いです。実は皮下脂肪と内臓脂肪には落とし方に違いがあるため、スリムな人でもたくさんの内臓脂肪がたくさんあるということは少なくありません。お腹が太りやすいと感じるのは、お腹は内臓脂肪と皮下脂肪の両方が蓄積されるため、腕や脚よりも太りやすいと感じやすいのです。
とはいえお腹の脂肪を落とすためにやるべきことはそう多くはありません。
ダイエットの基本原理
最新科学を基にした最高のダイエット法について説明する前にダイエット、脂肪燃焼の基本原理について紹介しましょう。これが最も確実で効果的です。逆にこれを無視したダイエット理論は矛盾しており、それで痩せることは不可能です。
体脂肪はエネルギーの貯金です。必要なエネルギー以上のカロリーを摂取した場合、体に体脂肪という形で体に蓄えます。
つまり、ダイエットの基本原理は消費するカロリーよりも少ないカロリーを摂取すること。これによって体は生命活動を維持するために体脂肪という名の貯金を切り崩します。
カロリー赤字を作るコト。これは内臓脂肪を体脂肪両方にとって効果的です。これが基礎ですが、問題はそこにどうやって到達するかです。
消費カロリーを上げるか摂取カロリーを減らすか。
代謝

まずは代謝から始めましょう。簡単に言うと代謝とは一日の総エネルギー消費量のことです。代謝というと何もしていない時に消費するエネルギー量と思う人もいますが、それは基礎代謝で少しニュアンスが違います。代謝はほぼ消費カロリーと同じです。
生活や運動、食事で消費するエネルギーのことです。この代謝は4つの要素で構成されています。
まず基礎代謝率、BMR。臓器を動かしたり安静時に体が燃焼させるエネルギーです。多くの人が知っている代謝機能の中でこれが最も広く知られていると思います。
次は非運動活動熱生産、NEATがあります。これらは意図的ではない。つまり今から運動するぞ!と思わないような日常生活での運動によって消費されるカロリーです。
そして食べ物を消化するときにもカロリーが消費されるため、食後に体温が上がることがあります。これを接触の熱効果、TEFといいます。
最後は有酸素運動やウエイトトレーニングなどの運動によって当然ながらカロリーが消費されます。これを運動活動熱生産と呼びます。
インターネット上にはこの代謝について数多くの情報や主張があるのでいくつか抑えておきましょう。
まず、脂肪を落とすのに苦労するのは自分の代謝が悪いせいだとよく言われています。これは痩せている人から見ると言い訳のように聞こえるかもしれませんが、研究は明確な答えを出しています。
同じ身長と体重でも二人の人間が消費するエネルギーの量が大きく異なることがよくあります。
人間の代謝に関するこれまでで最大規模の研究のひとつとして2021年にある研究論文が発表されました。研究者は6000人以上の人間について生涯にわたる代謝のグラフを公開しました。
総エネルギー消費量を最も確実に予測する要因は除脂肪体重でしたが、同じ体重でも人によって代謝は大きく異なる可能性があります。
例えば体重80kgの人の場合、平均的な人は1日に2600kcalを消費します。ただ、調査によると代謝能力が高い人で毎日3800kcal以上を消費することは珍しくないことがわかりました。同様に体重80kgでも1900kcal未満しか消費しない人もいました。
だからこそ目安はあってもすべての人に当てはまるカロリー目標はありません。人によっては2000kcalで大きな赤字になるかもしれませんが別の人によっては余剰になるかもしれません。
この大きな個人差は確かに重要ですが、だからといって代謝能力が低いから痩せられないというわけではありません。
2022年に行われた大規模な調査でまさにそのことが証明されました。研究者は代謝が悪いということは脂肪増加の危険因子ではなく、逆に代謝がいいということも脂肪の増加を防ぐものではないということが判明しました。
つまり、代謝が悪いということは行き止まりというわけではないということです。正しいダイエットをすれば痩せることは完全に可能です。
そしてもうひとつのインターネット上の情報や主張には筋肉を増やすと代謝がものすごく高くなり脂肪が減りやすくなるといううわさがたくさんあります。
確かに先ほど紹介した大規模な研究でも認められているように、除脂肪体重が1日の総エネルギー消費量を最も正確に予測する要因であることが判明しました。
筋肉を鍛える。増やすと基礎代謝が高まるという考え方にはある程度の真実性がありますが、全体的にはこの効果は誇張されていると思います。
平均して脂肪1kgは1日当たり約4.5kcalを燃焼しますが、筋肉は1kgあたり13kcalを燃焼させ、これは脂肪のほぼ3倍です。しかし、毎日のエネルギー消費量全体から見ればそれはまだ比較的控えめな量です。
例えばテレビやCMのダイエット企画で痩せた芸能人がすぐにリバウンドすることがよくあります。これはダイエット中につけた筋肉によって上昇した基礎代謝を過大評価したり、すぐに太っていたころの食生活に戻ってしまうことが原因です。
そしてよく見落とされがちですが、基礎代謝について話す時私たちは筋肉についてしか話しません。ただ、基礎代謝には脳、肝臓、心臓、腎臓など重要な臓器も含まれます。例えば肝臓や脳は小さいにもかかわらず1日で数百キロカロリーを消費します。
最近行われた新しい研究では、筋肉量が大幅に増加すると生理学的な要求の増加により臓器の一部のサイズも同様に増加する可能性が示唆されています。
これは筋肉を鍛えたりサイズを増やすことの代謝上の利点がより大きい可能性を裏付けています。
ただしこれは魔法ではないことを抑えておいてください。加えて緑茶やトウガラシ、お酢などの脂肪燃焼フードとして知られている食品や飲み物もほとんど効果がないことを科学的なデータは裏付けています。具体的な数字で言うと1日当たり5kcal程度の話です。
人間の代謝は2000kcal前後であるためこのうちの5kcal多く減ったところで変化はほとんどありません。
ただし、食事による熱効果を高めることもおなかの脂肪を落とす上で重要です。これはこの動画のもう少し先で紹介します。
代謝の話に戻りましょう。身体活動、有酸素運動やウエイトトレーニングの運動自体で消費されるカロリーも多くの人が考えているよりもそれほど多くはありません。例えば脚をハードに鍛えた日でも消費されるカロリーは200kcal、最大でも500kcal程度にすぎません。
ちなみに腹筋トレーニングはお腹の脂肪を優先的に燃やすといわれていますが、これもまだ十分な科学的根拠はなく、そもそも腹筋トレーニングの何倍もカロリーを消費するスクワットのほうが結局のところお腹の脂肪を短期間で燃やす可能性もあるので腹筋トレーニングの部分痩せ効果については期待しすぎるのは良くないでしょう。
ただ、有酸素運動はウエイトトレーニングとは違い、テレビやYoutubeなどを見ながら行うことができ、タイプによっては疲労が小さく長時間続けやすいメリットがあります。
例えば傾斜をつけたウォーキングや強度の低いサイクリングは疲労度が小さいためおすすめです。
とはいえこれはパズルのピースの一部にすぎません。代謝や健康を高める最も効果的な方法は何か。答えはNEATです。座りがちな生活からより活動的な生活に切り替えると代謝と健康が大幅に上昇します。
日々の生活に自然に運動を取り入れる方法を探しましょう。ジムまで車で行く代わりに歩きましょう。食品を届けてもらうのではなくスーパーまで歩いていきましょう。ソファで友達と電話するのではなく散歩しながら話しましょう。
おそらくNEATは最も過小評価されている脂肪燃焼法のひとつです。これは走ったりジムで高重量を持ち上げたりするものではなく、移動や家事なども含まれます。これによってあなたが息切れしたりすることはありません。最も効果的で疲労度が少ないダイエット法です。
そしてNEATは脂肪燃焼だけでなく多くの研究によって健康状態が改善されることがわかっています。
ただ、まだ言及していないことがひとつあります。身体活動を通じて代謝を高めることは確かに効果がありますが、だからといって単に運動量を急増させればいいというわけではありません。
2016年の研究でも判明している通り、人間はその体重を維持しようとする働きがあります。これをエネルギー制約といいます。例えばウエイトトレーニング1時間、有酸素運動を1時間毎日しようとするとNEATが大幅に下がったり普段の身体活動が少なくなる場合があります。
つまり、日常での運動量を増やせばジムでの運動習慣が減り、ジムでの運動習慣を増やせば日常での運動量が減るというように人間の体がバランスをとるようになります。
パーカーフィットネスのおすすめとしては適度な運動と食事管理によってカロリー赤字を作ることです。
食事

2012年の研究では太り過ぎの被験者を4つのグループに分けました。有酸素運動のみのグループ、食事制限のみのグループ、有酸素運動+食事制限グループ、なにもしないコントロールグループ。
有酸素運動のみのグループは2kg体重を減らしたのに対して食事制限のみは7.2kg、食事と運動を組み合わせたグループは8.9kg体重が落ちました。
SNSでのメッセージ、そしてクライアントの方からこんな相談を受けます。「食べるのが好きなので食事制限をせずに痩せたいです」「ハードな運動メニューでもいいので好きなものを食べたいです」
しかしほとんどの科学者が同意しているように、悪い食生活を運動でカバーすることはほぼ不可能です。
それではどれくらいのカロリー摂取量にすればいいのか。ここで非常に重要なポイントがあります。摂取カロリーを極端に減らすと筋肉の損失やイライラ、ケガや病気のリスクの増加など多くの問題が起こります。
健康やダイエットのために断食ルーティンを取り入れてる人も少なくありませんが、科学的なデータを見ると全体的には断食による健康上のメリットは見つかっておらず、逆に極端にカロリーを減らすことによるデメリットがあります。
大体の目安として運動と食事制限を組み合わせている人は男性の場合1日当たり2000kcal、女性は1500kcalほどを目安にすることを推奨していますが、先ほど話したように人によって代謝が違うため明確な数字を提示することは不可能です。
そのため、2000kcal、1500kcalをひとまず目標にして体重減少のスピードによって調節しましょう。体重減少が早すぎる場合は摂取カロリーを増やして、遅い場合は減らしましょう。
それではどれくらいのペースで脂肪を落とすのが理想的なのでしょうか。
これについて最良の研究が2022年に公開されています。このメタ分析では参加者にウエイトトレーニングをさせ、カロリー摂取量と体重減少量を報告させました。ウエイトトレーニングをすることは筋肉を破壊しないための最も効果的な方法です。
その結果、筋肉が減らないためには1日500kcal以内の赤字に抑える必要があることがわかりました。具体的に言うと2500kcalの代謝がある人は2000kcalにするということです。そしてこの数字を計算すると被験者は毎週体重の0.54%をリスクなく減らすことができることが判明しました。
つまり科学的なデータを考慮すると1週間の体重減少は0.5%以内、体重80kgの人なら0.4kg、1カ月で2kgの体重減少が最も早く安全なダイエットです。これを超えると仮に運動をしていても筋肉を失うリスクが高くなります。
この動画を観てる方の中にはムキムキ目指してるわけじゃないから筋肉なんてなくなってもいいわと思う人も一部いると思いますが、筋肉を減らさないのはすべての人に重要です。筋肉を減らすと病気やケガのリスクが増えたり、ダイエット後食欲が増えることでリバウンドの原因にもなります。
ダイエット中に1週間で1kgというように大幅に体重が減っている場合は注意してください。こういった場合は、あなたは筋肉を減らさないためにもっと食べる必要があります。逆に体重減少があまりにも少なかった場合は摂取カロリーを減らして、理想のペースで体重が落ち続けている場合完璧なダイエットができています。何も変える必要はありません。
ただ、カロリー設定の調節は多くても週に1回程度にしてください。たまたま水をたくさん飲んだり汗をかく量が少なかったりするだけで体重減少というのは変わるので「今日は落ちすぎてるからカロリー増やそう」「今日全然落ちてないから食べる量減らそう」と毎日変更するのはおすすめしません。
大体1週間のトータルで0.5%減っているかを参考にしてください。
そして食事では摂取カロリーとたんぱく質摂取量が重要です。
体脂肪を落とすために重要になるのはカロリーとタンパク質です。タンパク質をたくさん摂りましょう。
これには2つの理由があります。まずタンパク質は筋肉の成長や維持のために最も重要です。そして、タンパク質は熱発生性が最も高い栄養素であるため、摂取することでわずかに代謝が上昇する可能性があります。
タンパク質をたくさん摂取するほど脂肪が減り、筋肉がつきやすくなります。実際、最近行われたレビューでもカロリー制限、ウエイトトレーニング、高たんぱく食の3つを組み合わせると最も脂肪が落ちることがわかっています。
体重1kgあたり2.0gを目標にしてたくさん摂取しましょう。これは最低のラインでよりたくさんのたんぱく質を摂取してももちろんOKです。
そして食物繊維もダイエット、特に内臓脂肪を落とすのに重要です。
ある調査では2008年から2010年の18か月間の被験者の体組成を調査したところ繊維質をより多く摂取する被験者はBMIが低い傾向にあることがわかりました。食物繊維の多い食品は内臓脂肪を減らします。
野菜や果物の摂取量に関するメタ分析では1日に400g以上の野菜または果物を摂取している人は死亡リスクが20%減り、よりたくさん摂取することでリスクがさらに減ることが示されています。
加えてこの食材はカロリーが低いにもかかわらず体積が大きいためエネルギー密度が低い傾向があります。これは少ないカロリーで高い満足感があることを意味し、ダイエットに非常に役立ちます。
そして、野菜や果物はお腹にある内臓脂肪を積極的に燃やす傾向があるため、お腹の脂肪を優先的に落としたい人には最適です。
ダイエットルーティン
ダイエットの基本原理は消費カロリーが摂取カロリーを上回ることです。これが普遍的で絶対的なものでこれと矛盾したダイエットはほとんどの場合詐欺です。
そしてこの消費カロリーは代謝、摂取カロリーは食事といってもいいでしょう。つまり、ダイエットというのは代謝を高めるか、食事を少なくするか。この二択ですが、継続のしやすさ、そしてリスクなどを考慮すると両方を適度に行うのがベストです。
まず代謝について。これには基礎代謝とNEAT、摂食による熱効果、そして運動活動熱生産の4つの要素が関わっています。
筋肉を増やすことで基礎代謝量が上がりますが、これは皆さんが思っているほど大きいわけではなく劇的に何かが変わるわけではありません。ただ、筋肉の増加に伴って臓器の代謝率が上昇することで13kcalという数字よりも大きな効果がある可能性があります。
基本的にウエイトトレーニングをしていれば運動による消費カロリーはもちろん筋肉を成長させることで基礎代謝量の上昇というふたつの効果が同時に受けられます。
加えてこの筋肉の成長のためには毎日150g以上を目安にたくさんのタンパク質を摂取しましょう。タンパク質は熱生産が高いので代謝を上げるため、筋トレとタンパク質の相互作用によって大きな代謝増加が見込めます。
そして、最も過小評価されているのがNEATです。日々の生活に自然に運動を取り入れる方法を探しましょう。実はほとんどの現代人はこのNEATについて改善の余地がかなりあります。必ずしも歩かなければいけないわけではありません。
歩きだとさすがに時間がかかり過ぎるという人は自転車もいいと思います。とにかく移動での運動量を出来るだけ増やしてください。
基本的に代謝、消費カロリーを上げるためにすることはウエイトトレーニングの習慣を作ることとタンパク質摂取、そして日常生活での運動量を増やすこと。この3つでOKです。
ウエイトトレーニングについて最初は全身トレーニングを週2回以上、各筋肉のトレーニングを週10setを目指しましょう。
そして摂取カロリーについて。悪い食生活を運動でカバーすることはほぼ不可能です。食事について重要なのはカロリー数とタンパク質、基本的にはこれだけです。脂肪分や炭水化物については極限まで減らさない限り問題はほとんどありません。
ただし、カロリーについては何を食べるかで難易度がかなり変わります。例えば毎日ケーキを食べたいという人なら1日1食にしてほぼ断食のような食生活をする必要がありますが、これは1日中お腹が減った状態になるのでほとんどの人は続けることができないでしょう。
しかし、果物や野菜などの食物繊維が多く、エネルギー密度の低いものを食べれば1日3食でも十分痩せることができます。加えてこれは内臓脂肪を落とすためお腹の脂肪を積極的に燃やすことができます。
まずは2000kcalの食事量と150g以上のたんぱく質から始めましょう。代謝には個人差があるのでこれである程度自分の代謝がどれくらいか把握できるはずです。
そして、毎日体重に乗って一週間に一度体重減少の数字を出してください。これが、体重の0.05%であればOKですが、これより体重が落ちている場合は摂取カロリーを増やしましょう。
大体の目安ですが80kgの人が0.4kgが目安にもかかわらず1kg1週間で体重が落ちている場合、余計に落ちた分の0.6kgの半分、つまり0.3kgは最低でも筋肉であることが多いです。
すべてにおいて基本は非常に重要であり、もちろんダイエットにも基本というのが最も確実で効果的です。この動画で紹介した内容は科学という客観的な事実から裏付けられています。
まとめるとお腹の脂肪を落とすためにすることは1.ウエイトトレーニングを週1時間以上する 2.タンパク質を150g以上摂取する 3.移動を運動に変えてNEATをあげる 4.カロリーを男性は2000、女性は1500kcalにして様子を見ながら調整する 5.毎日400g以上の野菜や果物を摂取する


コメント